The objective of this notebook is to analyze Ames Housing data and use several regression models to predict house prices.
The data contains almost every feature of a house in Ames, Iowa. The features consist of the number of bedrooms, location, surroundings, etc. The data is from Kaggle’s Housing Prices: Advanced Regression Techniques. It comes with a train set, test set, and data dictionary.
Steps to accomplish the objective:
Import Data
import os
import pandas as pd
import numpy as np
import scipy as sp
import warnings
warnings.filterwarnings('ignore')
train = pd.read_csv("train.csv")
test = pd.read_csv("test.csv")
Exploratory Analysis
Quick look at data
print train.head(10)
print train.shape
Id MSSubClass MSZoning LotFrontage LotArea Street Alley LotShape \
0 1 60 RL 65.0 8450 Pave NaN Reg
1 2 20 RL 80.0 9600 Pave NaN Reg
2 3 60 RL 68.0 11250 Pave NaN IR1
3 4 70 RL 60.0 9550 Pave NaN IR1
4 5 60 RL 84.0 14260 Pave NaN IR1
5 6 50 RL 85.0 14115 Pave NaN IR1
6 7 20 RL 75.0 10084 Pave NaN Reg
7 8 60 RL NaN 10382 Pave NaN IR1
8 9 50 RM 51.0 6120 Pave NaN Reg
9 10 190 RL 50.0 7420 Pave NaN Reg
LandContour Utilities ... PoolArea PoolQC Fence MiscFeature MiscVal \
0 Lvl AllPub ... 0 NaN NaN NaN 0
1 Lvl AllPub ... 0 NaN NaN NaN 0
2 Lvl AllPub ... 0 NaN NaN NaN 0
3 Lvl AllPub ... 0 NaN NaN NaN 0
4 Lvl AllPub ... 0 NaN NaN NaN 0
5 Lvl AllPub ... 0 NaN MnPrv Shed 700
6 Lvl AllPub ... 0 NaN NaN NaN 0
7 Lvl AllPub ... 0 NaN NaN Shed 350
8 Lvl AllPub ... 0 NaN NaN NaN 0
9 Lvl AllPub ... 0 NaN NaN NaN 0
MoSold YrSold SaleType SaleCondition SalePrice
0 2 2008 WD Normal 208500
1 5 2007 WD Normal 181500
2 9 2008 WD Normal 223500
3 2 2006 WD Abnorml 140000
4 12 2008 WD Normal 250000
5 10 2009 WD Normal 143000
6 8 2007 WD Normal 307000
7 11 2009 WD Normal 200000
8 4 2008 WD Abnorml 129900
9 1 2008 WD Normal 118000
[10 rows x 81 columns]
(1460, 81)
Check if test columns equal train columns and they do.
test.columns == train.columns[:-1]
array([ True, True, True, True, True, True, True, True, True,
True, True, True, True, True, True, True, True, True,
True, True, True, True, True, True, True, True, True,
True, True, True, True, True, True, True, True, True,
True, True, True, True, True, True, True, True, True,
True, True, True, True, True, True, True, True, True,
True, True, True, True, True, True, True, True, True,
True, True, True, True, True, True, True, True, True,
True, True, True, True, True, True, True, True], dtype=bool)
Look at the data types. Object has the highest count.
train.dtypes.value_counts()
object 43
int64 35
float64 3
dtype: int64
Density plots for the numeric features. There does not seem to be anything out of the ordinary.
Some interesting facts:
- most homes were built in year 2000
- most homes have about 1000 sqft for the 1st floor
- most homes sold for under $200,000
import matplotlib.pyplot as plt
%matplotlib inline
train.select_dtypes(include=['float64','int64'])
# num_features = train.dtypes[train.dtypes in ['int64','float64']].index
n_features1 = 10
n_rows = 13
num_df = train.select_dtypes(include=['float64','int64'])
fig, axs = plt.subplots(n_rows,3, figsize = (20,60))
fig.subplots_adjust(hspace=.8, wspace=.3)
for k in axs:
for i,j in zip(num_df, axs.flat):
g = num_df[i].plot.kde(ax = j, title = i)
g.get_xaxis().tick_bottom()
g.get_yaxis().tick_left()

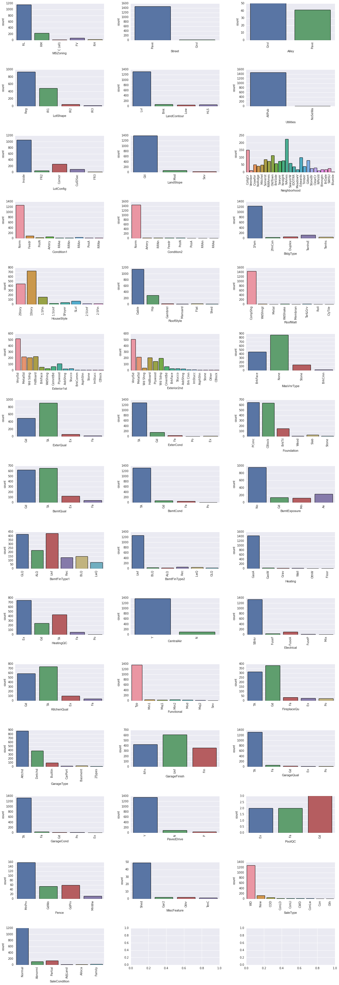
Same as before but bar plots for categorical features. Interesting facts:
- Most homes are in North Ames
- The ones with garages are attached to the house
- Most are normal sales
import seaborn as sns
#object features
object_features = train.dtypes[train.dtypes == 'object'].index
n_features1 = 10
n_rows = 15
object_df = train[object_features]
fig, axs = plt.subplots(n_rows,3, figsize = (20,60))
fig.subplots_adjust(hspace=.8, wspace=.3)
for k in axs:
for i,j in zip(object_features, axs.flat):
g = sns.countplot(x=i, data=object_df, ax=j)
plt.setp(j.get_xticklabels(), rotation=90)

Let’s check out the correlation each numeric feature has with the target (SalePrice). OverallQual has the highest correlation with .79 and BsmtFinSF2 has lowest with 0.11.
numeric_features = train.dtypes[train.dtypes != 'object'].index
pearson = train[numeric_features].corr(method='pearson')
corr_with_target = pearson.ix[-1][1:-1]
corr_with_target = corr_with_target[abs(corr_with_target).argsort()[::-1]]
print corr_with_target
OverallQual 0.790982
GrLivArea 0.708624
GarageCars 0.640409
GarageArea 0.623431
TotalBsmtSF 0.613581
1stFlrSF 0.605852
FullBath 0.560664
TotRmsAbvGrd 0.533723
YearBuilt 0.522897
YearRemodAdd 0.507101
GarageYrBlt 0.486362
MasVnrArea 0.477493
Fireplaces 0.466929
BsmtFinSF1 0.386420
LotFrontage 0.351799
WoodDeckSF 0.324413
2ndFlrSF 0.319334
OpenPorchSF 0.315856
HalfBath 0.284108
LotArea 0.263843
BsmtFullBath 0.227122
BsmtUnfSF 0.214479
BedroomAbvGr 0.168213
KitchenAbvGr -0.135907
EnclosedPorch -0.128578
ScreenPorch 0.111447
PoolArea 0.092404
MSSubClass -0.084284
OverallCond -0.077856
MoSold 0.046432
3SsnPorch 0.044584
YrSold -0.028923
LowQualFinSF -0.025606
MiscVal -0.021190
BsmtHalfBath -0.016844
BsmtFinSF2 -0.011378
Name: SalePrice, dtype: float64
Let’s check the correlation between each feature. There are some features that have high correlation:
- TotalBsmtSF and 1stFlrSF have .82 correlation
- YearBuilt and GarageYrBlt have .83 correlation
- GrLivArea and TotRmsAbvGrd have .83 correlation
- GarageCars and GarageArea have .88 correlation
- BsmtFinSF2 and BsmtUntSF have -.5 correlation highest negative
# make a plot of specified dimension (in inches), just a 1x1 subplot
fig, ax = plt.subplots(figsize=(25, 25))
# pass the axis to draw on
sns.corrplot(train[numeric_features[1:-1]], ax=ax)
<matplotlib.axes._subplots.AxesSubplot at 0x10d531110>

Data Cleaning
Begin with removing features that have multi-collinearity. Out of the 4 pairs, remove 1 from each pair.
mc_columns = ['TotalBsmtSF', 'GarageYrBlt','TotRmsAbvGrd','GarageCars']
train.drop(mc_columns, axis = 1, inplace = True)
test.drop(mc_columns, axis = 1, inplace = True)
The following counts the nulls in each feature for train and test set. There are some features with greater than 90% null.
# columns with NAs and count
from __future__ import division
print "Train Columns with Nulls \n"
train_nulls = []
for column in train.columns:
if train[column].isnull().sum() > 0:
print "Column: %s has %d nulls which is %s%%" \
%(column, train[column].isnull().sum(), round(train[column].isnull().sum()/len(train),2)*100)
train_nulls.append(column)
#test
test_nulls = []
print "\nTest Columns with Nulls \n"
for column in test.columns:
if test[column].isnull().sum() > 0:
print "Column: %s has %d nulls which is %s%%" \
%(column, test[column].isnull().sum(), round(test[column].isnull().sum()/len(test),2)*100.0)
test_nulls.append(column)
Train Columns with Nulls
Column: LotFrontage has 259 nulls which is 18.0%
Column: Alley has 1369 nulls which is 94.0%
Column: MasVnrType has 8 nulls which is 1.0%
Column: MasVnrArea has 8 nulls which is 1.0%
Column: BsmtQual has 37 nulls which is 3.0%
Column: BsmtCond has 37 nulls which is 3.0%
Column: BsmtExposure has 38 nulls which is 3.0%
Column: BsmtFinType1 has 37 nulls which is 3.0%
Column: BsmtFinType2 has 38 nulls which is 3.0%
Column: Electrical has 1 nulls which is 0.0%
Column: FireplaceQu has 690 nulls which is 47.0%
Column: GarageType has 81 nulls which is 6.0%
Column: GarageFinish has 81 nulls which is 6.0%
Column: GarageQual has 81 nulls which is 6.0%
Column: GarageCond has 81 nulls which is 6.0%
Column: PoolQC has 1453 nulls which is 100.0%
Column: Fence has 1179 nulls which is 81.0%
Column: MiscFeature has 1406 nulls which is 96.0%
Test Columns with Nulls
Column: MSZoning has 4 nulls which is 0.0%
Column: LotFrontage has 227 nulls which is 16.0%
Column: Alley has 1352 nulls which is 93.0%
Column: Utilities has 2 nulls which is 0.0%
Column: Exterior1st has 1 nulls which is 0.0%
Column: Exterior2nd has 1 nulls which is 0.0%
Column: MasVnrType has 16 nulls which is 1.0%
Column: MasVnrArea has 15 nulls which is 1.0%
Column: BsmtQual has 44 nulls which is 3.0%
Column: BsmtCond has 45 nulls which is 3.0%
Column: BsmtExposure has 44 nulls which is 3.0%
Column: BsmtFinType1 has 42 nulls which is 3.0%
Column: BsmtFinSF1 has 1 nulls which is 0.0%
Column: BsmtFinType2 has 42 nulls which is 3.0%
Column: BsmtFinSF2 has 1 nulls which is 0.0%
Column: BsmtUnfSF has 1 nulls which is 0.0%
Column: BsmtFullBath has 2 nulls which is 0.0%
Column: BsmtHalfBath has 2 nulls which is 0.0%
Column: KitchenQual has 1 nulls which is 0.0%
Column: Functional has 2 nulls which is 0.0%
Column: FireplaceQu has 730 nulls which is 50.0%
Column: GarageType has 76 nulls which is 5.0%
Column: GarageFinish has 78 nulls which is 5.0%
Column: GarageArea has 1 nulls which is 0.0%
Column: GarageQual has 78 nulls which is 5.0%
Column: GarageCond has 78 nulls which is 5.0%
Column: PoolQC has 1456 nulls which is 100.0%
Column: Fence has 1169 nulls which is 80.0%
Column: MiscFeature has 1408 nulls which is 97.0%
Column: SaleType has 1 nulls which is 0.0%
Let’s narrow the columns down to at least 70% nulls. The train columns are equal to test columns. The percentages are about the same. Alley, PoolQC, Fence, and MiscFeature have a high percentage of nulls which means there is a lot of missing data. It is probably ok to drop these columns.
limit = .70
#train
train_nulls_less_70 = []
train_remove = []
print "Train Columns with Nulls > 70%\n"
for column in train_nulls:
if float(train[column].isnull().sum()/len(train)) > limit:
print "Column: %s has %d nulls which is %s%%" \
%(column, train[column].isnull().sum(), round(train[column].isnull().sum()/len(train),2)*100)
train_remove.append(column)
else:
train_nulls_less_70.append(column)
#test
test_nulls_less_70 = []
test_remove = []
print "\nTest Columns with Nulls > 70%\n"
for column in test_nulls:
if float(test[column].isnull().sum()/len(test)) > limit:
print "Column: %s has %d nulls which is %s%%" \
%(column, test[column].isnull().sum(), round(test[column].isnull().sum()/len(test),2)*100.0)
test_remove.append(column)
else:
test_nulls_less_70.append(column)
Train Columns with Nulls > 70%
Column: Alley has 1369 nulls which is 94.0%
Column: PoolQC has 1453 nulls which is 100.0%
Column: Fence has 1179 nulls which is 81.0%
Column: MiscFeature has 1406 nulls which is 96.0%
Test Columns with Nulls > 70%
Column: Alley has 1352 nulls which is 93.0%
Column: PoolQC has 1456 nulls which is 100.0%
Column: Fence has 1169 nulls which is 80.0%
Column: MiscFeature has 1408 nulls which is 97.0%
This will remove the features with at least 70% null.
train.drop(train_remove, axis = 1, inplace = True)
test.drop(test_remove, axis = 1, inplace = True)
Here we impute the nulls. There were categorical features that had a category “None” so we assume the nulls were suppose to be “None” or 0 if numeric. Electrical is true null because it does not have the category “None”. A true null is when the value is truly unknown and cannot be assumed (more about this later). We create a list of true null columns to be imputed later on.
print train_nulls_less_70
#Electrical null is not part of factors
train_columns_true_null = {'Electrical':['Utilities','YearBuilt','Heating','HeatingQC','CentralAir']}
train_columns_null = [item for item in train_nulls_less_70 if item not in train_columns_true_null.keys()]
['LotFrontage', 'MasVnrType', 'MasVnrArea', 'BsmtQual', 'BsmtCond', 'BsmtExposure', 'BsmtFinType1', 'BsmtFinType2', 'Electrical', 'FireplaceQu', 'GarageType', 'GarageFinish', 'GarageQual', 'GarageCond']
Impute nulls in train set
for column in train_columns_null:
if train[column].dtype == 'float64':
train.ix[train[column].isnull(), column] = 0
else:
train.ix[train[column].isnull(), column] = 'None'
Let’s find the test features that are true nulls and regular nulls. There are 6 true null features which we will deal with later.
print test_nulls_less_70
#null not part of factors
test_columns_true_null = {'MSZoning':['LotShape','LandContour','LandSlope','Neighborhood'],
'Utilities':['YearBuilt','Heating','HeatingQC','CentralAir'],
'Exterior1st':['RoofStyle','MasVnrType','Foundation'],
'Exterior2nd':['RoofStyle','MasVnrType','Foundation'],
'KitchenQual':['OverallQual','OverallCond','Functional'],
'Functional':['KitchenQual','OverallQual','OverallCond']}
test_columns_null = [item for item in test_nulls_less_70 if item not in test_columns_true_null.keys()]
#SaleType (change to Other)
['MSZoning', 'LotFrontage', 'Utilities', 'Exterior1st', 'Exterior2nd', 'MasVnrType', 'MasVnrArea', 'BsmtQual', 'BsmtCond', 'BsmtExposure', 'BsmtFinType1', 'BsmtFinSF1', 'BsmtFinType2', 'BsmtFinSF2', 'BsmtUnfSF', 'BsmtFullBath', 'BsmtHalfBath', 'KitchenQual', 'Functional', 'FireplaceQu', 'GarageType', 'GarageFinish', 'GarageArea', 'GarageQual', 'GarageCond', 'SaleType']
Impute nulls in test set.
# replace the test null columns
for column in test_columns_null:
if test[column].dtype == 'float64':
test.ix[test[column].isnull(), column] = 0
elif column == 'SaleType':
test.ix[test[column].isnull(), column] = 'Oth'
else:
test.ix[test[column].isnull(), column] = 'None'
Find True Nulls and Replace
The function below replaces the nulls values that are not part of the column’s categories. For example Electrical has the following categories:
SBrkr Standard Circuit Breakers & Romex
FuseA Fuse Box over 60 AMP and all Romex wiring (Average)
FuseF 60 AMP Fuse Box and mostly Romex wiring (Fair)
FuseP 60 AMP Fuse Box and mostly knob & tube wiring (poor)
Mix Mixed
a regular null will be just be a missing data point. We will find columns relevant to the null value’s column in question. We will take the values for the relevant columns associated with the null value and find existing observations with the same values. If they are match I will record it and in the end take the value with the most occurences and set the null value as it.
def find_nulls_and_similar_then_replace(df, null_column, rel_columns):
#try to find similar obsverations like null MSZoning
null_values = df[df[null_column].isnull()]\
[rel_columns].values
num_nulls = len(null_values) #number of nulls
num_rel_columns = len(rel_columns) #number of relevant columns
not_null_values = df[df[null_column].notnull()]\
[rel_columns]
similar_values = {sec : [] for sec in range(0,num_nulls)}#index of similar no null values to null values
for key, values in enumerate(null_values):
for index, row in not_null_values.iterrows(): #iterate over all rows
if (row.values == values).sum() >= (num_rel_columns - 1): #if greater than equal to num_rel_columns - 1
similar_values[key].append(df.ix[index,null_column]) #append to list
replace_nulls(df, null_column, similar_values)
from collections import Counter
def replace_nulls(df, column, similar_values):
most_common_value = []
for key in similar_values:
most_common_value.append(Counter(similar_values[key]).most_common(1)[0][0]) #most common value is appended to list
df.ix[df[column].isnull(),column] = most_common_value #replace nulls
Apply find_nulls_and_similar_then_replace on train set.
#Train
for key, value in train_columns_true_null.iteritems():
find_nulls_and_similar_then_replace(train,key,value)
Apply find_nulls_and_similar_then_replace on train set.
#Test
for key, value in test_columns_true_null.iteritems():
find_nulls_and_similar_then_replace(test,key,value)
Sanity check to see if it worked, which it did!
print train.isnull().values.any()
print test.isnull().values.any()
False
False
Reassigning the features and response variable, and checking if train features equal test features.
#reset the x y variables
train_x = train.ix[:,:-1]
train_y = train.ix[:,-1]
train_x.columns == test.columns #check columns
array([ True, True, True, True, True, True, True, True, True,
True, True, True, True, True, True, True, True, True,
True, True, True, True, True, True, True, True, True,
True, True, True, True, True, True, True, True, True,
True, True, True, True, True, True, True, True, True,
True, True, True, True, True, True, True, True, True,
True, True, True, True, True, True, True, True, True,
True, True, True, True, True, True, True, True, True], dtype=bool)
Here we check if the categorical features have the same categories in the train and test set. It looks like there are a bunch of features that do not have the same set of categories. That’s ok we will only take the ones that match when the features are converted to dummy variables.
# check if objects have the same number of categories
train_objects = train.dtypes[train.dtypes=='object'].index
test_objects = test.dtypes[test.dtypes=='object'].index
print train_objects == test_objects
for column in train_objects:
if len(train[column].unique()) != len(test[column].unique()):
print column, train[column].unique(), test[column].unique()
[ True True True True True True True True True True True True
True True True True True True True True True True True True
True True True True True True True True True True True True
True True True]
Utilities ['AllPub' 'NoSeWa'] ['AllPub']
Condition2 ['Norm' 'Artery' 'RRNn' 'Feedr' 'PosN' 'PosA' 'RRAn' 'RRAe'] ['Norm' 'Feedr' 'PosA' 'PosN' 'Artery']
HouseStyle ['2Story' '1Story' '1.5Fin' '1.5Unf' 'SFoyer' 'SLvl' '2.5Unf' '2.5Fin'] ['1Story' '2Story' 'SLvl' '1.5Fin' 'SFoyer' '2.5Unf' '1.5Unf']
RoofMatl ['CompShg' 'WdShngl' 'Metal' 'WdShake' 'Membran' 'Tar&Grv' 'Roll' 'ClyTile'] ['CompShg' 'Tar&Grv' 'WdShake' 'WdShngl']
Exterior1st ['VinylSd' 'MetalSd' 'Wd Sdng' 'HdBoard' 'BrkFace' 'WdShing' 'CemntBd'
'Plywood' 'AsbShng' 'Stucco' 'BrkComm' 'AsphShn' 'Stone' 'ImStucc'
'CBlock'] ['VinylSd' 'Wd Sdng' 'HdBoard' 'Plywood' 'MetalSd' 'CemntBd' 'WdShing'
'BrkFace' 'AsbShng' 'BrkComm' 'Stucco' 'AsphShn' 'CBlock']
Exterior2nd ['VinylSd' 'MetalSd' 'Wd Shng' 'HdBoard' 'Plywood' 'Wd Sdng' 'CmentBd'
'BrkFace' 'Stucco' 'AsbShng' 'Brk Cmn' 'ImStucc' 'AsphShn' 'Stone' 'Other'
'CBlock'] ['VinylSd' 'Wd Sdng' 'HdBoard' 'Plywood' 'MetalSd' 'Brk Cmn' 'CmentBd'
'ImStucc' 'Wd Shng' 'AsbShng' 'Stucco' 'CBlock' 'BrkFace' 'AsphShn'
'Stone']
Heating ['GasA' 'GasW' 'Grav' 'Wall' 'OthW' 'Floor'] ['GasA' 'GasW' 'Grav' 'Wall']
Electrical ['SBrkr' 'FuseF' 'FuseA' 'FuseP' 'Mix'] ['SBrkr' 'FuseA' 'FuseF' 'FuseP']
GarageQual ['TA' 'Fa' 'Gd' 'None' 'Ex' 'Po'] ['TA' 'None' 'Fa' 'Gd' 'Po']
Machine Learning
We begin the machine learning part by transforming the categorical features into dummy variables.
def dummy_transform(df):
# create dummy columns
object_columns = df.columns[df.dtypes == 'object']
#print object_columns.shape
object_dummies = pd.get_dummies(df[object_columns], drop_first = False)
#print object_dummies.shape
# new dataframe
new_train_x = pd.concat([df, object_dummies], axis=1)
nonobject_columns = new_train_x.columns[new_train_x.dtypes != "object"]
#print nonobject_columns.shape
nonobject_columns = nonobject_columns[1:] # removed id
new_train_x = new_train_x[nonobject_columns]
return(new_train_x)
This function will find the dummy variables with the same names in both train and test.
# Dummy columns after test transformation, find columns that are the same in both sets
def train_test_same_columns(train_df,test_df):
test = dummy_transform(test_df) #dummy
train = dummy_transform(train_df) #dummy
final_columns = test.columns & train.columns #only columns that match
return train[final_columns],test[final_columns]
Now we run it and my number of train features equals number of test features
train_x_dum, test_dum = train_test_same_columns(train_x,test)
RMSE is the metric we will be using to measure error.
from sklearn.metrics import mean_squared_error as mse
def error_metric(y_true,y_pred):
error = np.sqrt(mse(y_true,y_pred))
return error
Split the train data into train and test.
from sklearn.cross_validation import train_test_split
from sklearn.linear_model import LinearRegression
X_train, X_test, y_train, y_test = train_test_split(train_x_dum, train_y, test_size=0.20, random_state=0) #split set
Simple Linear model
Let’s run a simple linear model to see how it performs.
#linear regression
lm = LinearRegression()
#train on train set
lm.fit(X_train,y_train)
#coefficients
coef_df = pd.DataFrame({'features':X_train.columns, 'coef':lm.coef_})[['features','coef']]
print coef_df.sort_values(['coef'], ascending=[False])[:10] #high coef
print coef_df.sort_values(['coef'], ascending=[True])[:10] #low coef
#pred
pred_train = lm.predict(X_train)
pred_test = lm.predict(X_test)
print "\n"
print "Train RMSE:",error_metric(y_train,pred_train)
print "Test RMSE:", error_metric(y_test,pred_test)
print "\n"
features coef
93 Condition2_PosA 148969.152081
92 Condition2_Norm 118595.646582
90 Condition2_Artery 115205.743152
91 Condition2_Feedr 110868.428262
112 RoofStyle_Shed 64151.839275
251 SaleType_CWD 50654.904736
172 BsmtCond_Po 43107.741869
135 Exterior2nd_CmentBd 41606.611614
256 SaleType_New 37561.941418
78 Neighborhood_StoneBr 34532.128890
features coef
94 Condition2_PosN -330948.553422
239 GarageQual_Po -133143.274734
236 GarageQual_Fa -125309.248422
240 GarageQual_TA -123562.544967
237 GarageQual_Gd -120337.844773
241 GarageCond_Ex -86093.960460
114 RoofMatl_Tar&Grv -42189.037912
264 SaleCondition_Partial -36655.697052
115 RoofMatl_WdShake -36216.941472
55 LandSlope_Sev -28770.017103
Train RMSE: 18758.2439513
Test RMSE: 56763.3842889
When ploting train’s actual vs train’s prediction it performs very well because we are testing the model with the same data we trained with.
# Train actual vs prediction
plt.scatter(y_train, pred_train, color='g')
plt.xlabel('actual')
plt.ylabel('prediction')
plt.suptitle('Train Actual vs. Prediction')
<matplotlib.text.Text at 0x121aa4bd0>

But when we use the test data to predict and plot it against the test actual it performs okay, but there are a handful of datapoints that make no sense. For example, an actual is 200,000 but predicted 850,000.
#Test actual vs prediction
plt.scatter(y_test, pred_test, color='g')
plt.xlabel('actual')
plt.ylabel('prediction')
plt.suptitle('Test Actual vs. Prediction')
<matplotlib.text.Text at 0x122b9ee10>

Ridge Regression
This model is better than the simple linear regression because it shrinks variables to near zero. Judging from the plots the test actual vs predicted has less far apart predictions. The one mentioned previously is still there though. Let’s move on to use XGBoost to see if we can predict better than ridge and simple.
#ridge regression (.16 score)
from sklearn.linear_model import Ridge
rlm = Ridge(alpha=1.0)
#train on train set
rlm.fit(X_train,y_train)
#coefficients
coef_df = pd.DataFrame({'features':X_train.columns, 'coef':rlm.coef_})[['features','coef']]
print coef_df.sort_values(['coef'], ascending=[False])[:10] #high coef
print coef_df.sort_values(['coef'], ascending=[True])[:10] #low coef
#pred
pred_train = rlm.predict(X_train)
pred_test = rlm.predict(X_test)
print "\n"
print "Train RMSE:",error_metric(y_train,pred_train)
print "Test RMSE:", error_metric(y_test,pred_test)
print "\n"
features coef
92 Condition2_Norm 60382.111334
91 Condition2_Feedr 41444.877758
116 RoofMatl_WdShngl 37685.057446
78 Neighborhood_StoneBr 34664.676551
93 Condition2_PosA 31881.133259
71 Neighborhood_NoRidge 31254.571720
90 Condition2_Artery 26167.096922
251 SaleType_CWD 25403.034708
112 RoofStyle_Shed 24416.710686
256 SaleType_New 22040.536700
features coef
94 Condition2_PosN -163414.330343
114 RoofMatl_Tar&Grv -24283.048575
264 SaleCondition_Partial -20741.042850
32 MSZoning_C (all) -20342.732835
113 RoofMatl_CompShg -18617.381775
55 LandSlope_Sev -18457.966135
236 GarageQual_Fa -18412.919197
240 GarageQual_TA -18081.633657
63 Neighborhood_Edwards -17982.950870
67 Neighborhood_Mitchel -16396.363737
Train RMSE: 19900.740454
Test RMSE: 48839.3582391
# Train actual vs prediction
plt.scatter(y_train, pred_train, color='g')
plt.xlabel('actual')
plt.ylabel('prediction')
plt.suptitle('Train Actual vs. Prediction')
<matplotlib.text.Text at 0x122b9ec90>

#Test actual vs prediction
plt.scatter(y_test, pred_test, color='g')
plt.xlabel('actual')
plt.ylabel('prediction')
plt.suptitle('Test Actual vs. Prediction')
<matplotlib.text.Text at 0x11a1523d0>

XGBoost
We first try to find good cross validation parameters by searching 3 max depth, min child weight, and learning rate. Note, the error metric is negative because of sklearn’s objective function.
Based on the grid search the following parameters performed the best:
- learning_rate = 0.05
- subsample = 0.8
- max_depth = 7
- min_child_weight = 1
import xgboost as xgb
from sklearn.grid_search import GridSearchCV
cv_params = {'max_depth': [3,5,7], 'min_child_weight': [1,3,5], 'learning_rate': [0.1, 0.01, 0.05]}
ind_params = {'n_estimators': 1000, 'seed':0, 'subsample': 0.8,
'objective': 'reg:linear'}
optimized_GBM = GridSearchCV(xgb.XGBRegressor(**ind_params),
cv_params,
scoring = 'mean_squared_error', cv = 5, n_jobs = -1)
optimized_GBM.fit(X_train, y_train)
GridSearchCV(cv=5, error_score='raise',
estimator=XGBRegressor(base_score=0.5, colsample_bylevel=1, colsample_bytree=1, gamma=0,
learning_rate=0.1, max_delta_step=0, max_depth=3,
min_child_weight=1, missing=None, n_estimators=1000, nthread=-1,
objective='reg:linear', reg_alpha=0, reg_lambda=1,
scale_pos_weight=1, seed=0, silent=True, subsample=0.8),
fit_params={}, iid=True, n_jobs=-1,
param_grid={'learning_rate': [0.1, 0.01, 0.05], 'max_depth': [3, 5, 7], 'min_child_weight': [1, 3, 5]},
pre_dispatch='2*n_jobs', refit=True, scoring='mean_squared_error',
verbose=0)
optimized_GBM.grid_scores_
[mean: -845900308.91004, std: 461125513.77616, params: {'learning_rate': 0.1, 'max_depth': 3, 'min_child_weight': 1},
mean: -852353473.83360, std: 485287685.83821, params: {'learning_rate': 0.1, 'max_depth': 3, 'min_child_weight': 3},
mean: -860561215.11773, std: 437803207.26903, params: {'learning_rate': 0.1, 'max_depth': 3, 'min_child_weight': 5},
mean: -854309695.92370, std: 467813472.24067, params: {'learning_rate': 0.1, 'max_depth': 5, 'min_child_weight': 1},
mean: -831504994.15739, std: 456489524.35600, params: {'learning_rate': 0.1, 'max_depth': 5, 'min_child_weight': 3},
mean: -877582002.90156, std: 468868493.63148, params: {'learning_rate': 0.1, 'max_depth': 5, 'min_child_weight': 5},
mean: -835522039.28035, std: 396706246.40271, params: {'learning_rate': 0.1, 'max_depth': 7, 'min_child_weight': 1},
mean: -843257697.61240, std: 448272635.89929, params: {'learning_rate': 0.1, 'max_depth': 7, 'min_child_weight': 3},
mean: -851252406.55608, std: 485960883.70199, params: {'learning_rate': 0.1, 'max_depth': 7, 'min_child_weight': 5},
mean: -822873585.64033, std: 429854705.75196, params: {'learning_rate': 0.01, 'max_depth': 3, 'min_child_weight': 1},
mean: -829986810.95260, std: 443761727.26226, params: {'learning_rate': 0.01, 'max_depth': 3, 'min_child_weight': 3},
mean: -837456198.93642, std: 430177142.82554, params: {'learning_rate': 0.01, 'max_depth': 3, 'min_child_weight': 5},
mean: -771245439.29983, std: 403792135.64002, params: {'learning_rate': 0.01, 'max_depth': 5, 'min_child_weight': 1},
mean: -808983500.92036, std: 445904791.14046, params: {'learning_rate': 0.01, 'max_depth': 5, 'min_child_weight': 3},
mean: -817223847.66820, std: 453963426.62583, params: {'learning_rate': 0.01, 'max_depth': 5, 'min_child_weight': 5},
mean: -818105617.45423, std: 459950809.09134, params: {'learning_rate': 0.01, 'max_depth': 7, 'min_child_weight': 1},
mean: -802108624.92724, std: 416128918.47037, params: {'learning_rate': 0.01, 'max_depth': 7, 'min_child_weight': 3},
mean: -820608209.80228, std: 459989462.61208, params: {'learning_rate': 0.01, 'max_depth': 7, 'min_child_weight': 5},
mean: -812700906.42131, std: 455089787.87669, params: {'learning_rate': 0.05, 'max_depth': 3, 'min_child_weight': 1},
mean: -789788923.16183, std: 469630227.18147, params: {'learning_rate': 0.05, 'max_depth': 3, 'min_child_weight': 3},
mean: -828046683.69462, std: 448335787.74901, params: {'learning_rate': 0.05, 'max_depth': 3, 'min_child_weight': 5},
mean: -774336316.37234, std: 409653233.18895, params: {'learning_rate': 0.05, 'max_depth': 5, 'min_child_weight': 1},
mean: -794358363.31426, std: 465091908.28345, params: {'learning_rate': 0.05, 'max_depth': 5, 'min_child_weight': 3},
mean: -838552223.02113, std: 483778744.27787, params: {'learning_rate': 0.05, 'max_depth': 5, 'min_child_weight': 5},
mean: -766805991.47873, std: 384911671.12426, params: {'learning_rate': 0.05, 'max_depth': 7, 'min_child_weight': 1},
mean: -814130422.01978, std: 426783299.36207, params: {'learning_rate': 0.05, 'max_depth': 7, 'min_child_weight': 3},
mean: -858957690.61715, std: 519331042.19274, params: {'learning_rate': 0.05, 'max_depth': 7, 'min_child_weight': 5}]
optimized_GBM.best_score_
-766805991.47873068
To increase the performance of XGBoost’s speed through many iterations of the training set we use the XGBoost’s API without sklearn. We create a DMatrix, it sorts the data initially to optimize for XGBoost when it builds trees, making the algorithm more efficient.
xgdmat = xgb.DMatrix(X_train, y_train)
Now we reset the parameters in a different syntax.
our_params = {'eta': 0.05, 'seed':0, 'subsample': 0.8,
'objective': 'reg:linear', 'max_depth':7, 'min_child_weight':1}
# Grid Search CV optimized settings
cv_xgb = xgb.cv(params = our_params, dtrain = xgdmat, num_boost_round = 3000, nfold = 5,
metrics = ['rmse','error'], # Make sure you enter metrics inside a list or you may encounter issues!
early_stopping_rounds = 100) # Look for early stopping that minimizes error
The CV results are saved into a pandas df, so it is easy to see our results.
cv_xgb.tail(5)
| test-error-mean | test-error-std | test-rmse-mean | test-rmse-std | train-error-mean | train-error-std | train-rmse-mean | train-rmse-std | |
|---|---|---|---|---|---|---|---|---|
| 325 | -180920.2 | 6797.554051 | 27455.387109 | 3762.937862 | -180920.196875 | 1699.387815 | 1885.562549 | 61.016135 |
| 326 | -180920.2 | 6797.554051 | 27454.143359 | 3762.319508 | -180920.196875 | 1699.387815 | 1875.933740 | 62.313999 |
| 327 | -180920.2 | 6797.554051 | 27454.979688 | 3762.832033 | -180920.196875 | 1699.387815 | 1860.915161 | 62.545408 |
| 328 | -180920.2 | 6797.554051 | 27453.051562 | 3761.412255 | -180920.196875 | 1699.387815 | 1847.719507 | 63.746992 |
| 329 | -180920.2 | 6797.554051 | 27452.019531 | 3762.457690 | -180920.196875 | 1699.387815 | 1839.233399 | 63.075268 |
Our CV mse at 329 iterations is 27452^2 = 753612304
Now that we have our best setting, we save my model.
our_params = {'eta': 0.05, 'seed':0, 'subsample': 0.8,
'objective': 'reg:linear', 'max_depth':7, 'min_child_weight':1}
final_gb = xgb.train(our_params, xgdmat, num_boost_round = 329)
There is a nifty function that shows the importance of each feature.
#plot top 20 important
importance = final_gb.get_fscore()
importance_df = pd.DataFrame({'feature':list(importance.keys()), 'f-score':list(importance.values())})
importance_df = importance_df.sort_values('f-score')[-20:]
importance_df
| f-score | feature | |
|---|---|---|
| 211 | 122 | BedroomAbvGr |
| 14 | 167 | EnclosedPorch |
| 82 | 279 | YrSold |
| 56 | 363 | 2ndFlrSF |
| 171 | 394 | WoodDeckSF |
| 3 | 438 | OpenPorchSF |
| 59 | 452 | OverallCond |
| 73 | 474 | OverallQual |
| 13 | 513 | YearRemodAdd |
| 126 | 517 | MoSold |
| 173 | 522 | MasVnrArea |
| 33 | 727 | YearBuilt |
| 204 | 746 | BsmtFinSF1 |
| 102 | 762 | GarageArea |
| 65 | 781 | 1stFlrSF |
| 118 | 847 | GrLivArea |
| 135 | 864 | BsmtUnfSF |
| 111 | 1090 | MSSubClass |
| 114 | 1452 | LotArea |
| 19 | 1470 | LotFrontage |
We plot the important features by rank so it is easier to read. The top 5 features are:
- LotFrontage: Linear feet of street connected to property
- LotArea: Lot size in square feet
- MSSubClass: Identifies the type of dwelling involved in the sale.
- BsmtUnfSF: Unfinished square feet of basement area
- GrLivArea: Above grade (ground) living area square feet
The most important features are similar, they involve square feet. This makes sense because when buying a home people want the most square feet for their money.
%matplotlib inline
import seaborn as sns
sns.set(font_scale = 1.5)
importance_df.plot(kind = 'barh', x = 'feature', figsize = (8,8), color = 'green')
<matplotlib.axes._subplots.AxesSubplot at 0x10d96a6d0>

XGBoost model fits the data much better than the previous ones. There are still some bad predictions but they were not as bad as before.
xgdmat_test = xgb.DMatrix(X_test)
pred_test = final_gb.predict(xgdmat_test)
#Test actual vs prediction
plt.scatter(y_test, pred_test, color='g')
plt.xlabel('actual')
plt.xticks(rotation = 45)
plt.ylabel('prediction')
plt.suptitle('Test Actual vs. Prediction')
<matplotlib.text.Text at 0x1083fc210>

Conclusion
The models created can accurately predict the sale price, but XGBoost predicts it the best out of the three. The predictions were submitted to Kaggle and these were the results:
- Simple Linear Regression Model: 0.20085
- Ridge Regression Model: 0.16460
- XGBoost Model: 0.13792
Based on the submission scores XGBoost performed the best since it has the lowest score. There are definitely other ways to improve the XGBoost model through feature engineering.
As of now, we learned how to implement the basic functionality of XGBoost library. It was quick to train and produced great results while ranking features by importance.
test_id = test.iloc[:,0]
xgdmat_test_dum = xgb.DMatrix(test_dum)
pred = final_gb.predict(xgdmat_test_dum)
submission = pd.DataFrame({'Id':test_id,'SalePrice':pred})
submission.loc[submission['SalePrice']<0,'SalePrice'] = 0
submission.to_csv('xgb_submission_final.csv',index = False)